Çarşamba TOKİ Kurası Tamamlandı: İşte 300 Konutun Talihlileri
Çarşamba ilçesinde 300 ailenin yüzünü güldürecek TOKİ kura sonuçları belli oldu.
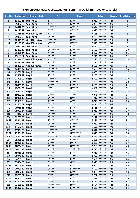
Samsun’un Çarşamba ilçesinde 300 konutluk Sosyal Konut Projesi kapsamında hak sahipliği belirleme kurası çekildi. 31 Ocak 2026 saat 12:00'de Şehit Ömer Halis Demir Kongre Salonu’nda yapılan çekilişle, konut sahibi olmaya hak kazanan vatandaşlar belirlendi.
Halk Bankası üzerinden başvuruda bulunan vatandaşlar, kura sonuçlarını heyecanla bekledi. Noter huzurunda yapılan çekiliş sonrası isim listesi netleşirken, sonuçlar dijital ortamda erişime açıldı.
Bakmadan Geçme